Yu-Cheng Chiou

Previously affiliated with the Department of Physics and Technology, University of Tromsø, Norway.
MS (UManchester-Materials     


I was a doctoral research fellow in the Department of Physics and Technology at the University of Tromsø, and working on 2D van der Waals heterostructure and its applications, and data science.

Prior to Tromsø, I joined Masdar Institute, where I did research on CVD growth graphene. Meanwhile, in order to understand emerging physics phenomena in 2D materials, I had been engaged in the advanced analytics techniques, including electronic microscopes, AFM, Raman, and XRD.

Beyond research, I am interested in writing codes, especially Python, to solve and simulate questions. By taking advantage of Python's multifunction, I had been using py-meep to solve optical FDTD, image processing to identify and predict materials in macro-scale, and data analysis panned out massive data. Recent side projects include simulation, soil classification, and power data visualization.

Recent Update


Conference Papers

  1. H. Apostoleris, Y.-C. Chiou, M. Chiesa, and I. Almansouri, "Spectral splitting for thermal management in photovoltaic cells," Thermal Radiation Management for Energy Applications, San Diego, California, USA, 2017.

Journal Papers

  1. Odin Foldvik Eikeland, Filippo Maria Bianchi, Harry Apostoleris, Morten Hansen, Yu-Cheng Chiou, Matteo Chiesa Chiesa, "Predicting Energy Demand in Semi-Remote Arctic Locations," Energies, 2021
  2. Tuza Adeyemi Olukan, Y.-C. Chiou, Cheng-Hsiang Chiu, Chia-Yun Lai, Sergio Santos, Matteo Chiesa Chiesa, "Predicting the suitability of lateritic soil type for low cost sustainable housing with image recognition and machine learning techniques," Journal of Building Engineering, Volume 29, May 2020, 101175
  3. Y.-C. Chiou, T. A. Olukan, M. A. Almahri, H. Apostoleris, C. H. Chiu, C.-Y. Lai, J.-Y. Lu, S. Santos, I. Almansouri, and M. Chiesa, "Direct Measurement of the Magnitude of van der Waals interaction of Single and Multilayer Graphene," Langmuir, vol. 34, no. 41, pp. 12335-12343, Sep. 2018
  4. H. Apostoleris, Y.-C. Chiou, M. Chiesa, and I. Almansouri, "Spectral management for temperature control in photovoltaic systems," Optical Society of America, Nov. 2017
  5. S. Shah, Y.-C. Chiou, C.-Y. Lai, H. Apostoleris, Md. M. Rahman, H. Younes, I. Almansouri, A. A. Ghaferi, and M. Chiesa, "Impact of short duration, high-flow H2 annealing on graphene synthesis and surface morphology with high spatial resolution assessment of coverage," Carbon, vol. 125, pp. 318-326, Dec. 2017

Thesis

  1. Y.-C. Chiou, "Microwave Dielectric Ceramics," Master Thesis, School of Materials, University of Manchester, 2011

Graphene

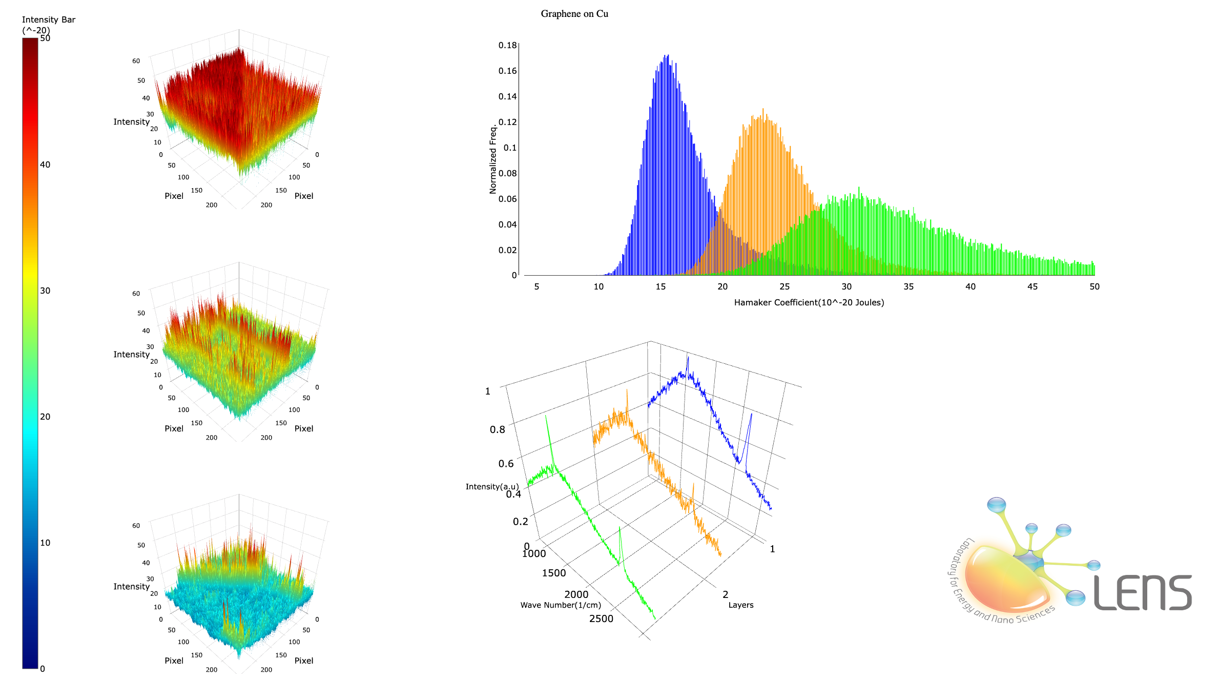
The following three visualizations are graphe which I grew by using CVD. From the left to the right are Free-standing graphene, graphene on SiO2, and graphene on copper. Each visualization is consisted of Raman and AFM. Click for interactive visualization(It might take 10 seconds to open).

The initial goal of this research is to link Hamaker constant van der Waals layer-layer interaction for future heterostructure materials tailoring.

The following photos are graphene: The picture on the left is graphene growth on thermal CVD and transfer to SiO2 substrate, and the picture on the middle is graphene on top of the copper, the right one is the graphene growth on ambient CVD which shows almost perfect hexagonal structure.


Power Data Analytics

The following is a short video demonstrating power data visualization. The used programming language is Python.

The goal of this project is to help industries select adpative electricity price plans in Norway.


CVD Thermal Transient

The following is a short video demonstrating CVD heat conduction visualization. The used programming language is Python.

The goal of this project is to in-depth understand heat distribution during the graphene growth process.


University of Tromsø

As a teching assistant for Python programming and lab session in the following classes:


Masdar Institute of Science and Technology (Now is Khalifa University)

As a teaching assistant in the following two courses:

MIC503: Semiconductor and Physics

MIC501: Semiconductor Manufacturing